Survival Analysis:

The Life and Death of Statistics

Isaac Quintanilla Salinas

Background Information

  • Background Information

  • Censoring

  • Survival Analysis Functions

  • Survival Rate

  • Cox Proportional Hazard Model

  • Example

  • R Code

Study Example

  • Acute Myelogenous Leukemia (AML) is a blood and bone marrow cancer that makes abnormal blood cells. This is the most common Leukemia found in adults.

  • There are several factors that affect the prognosis (survival rate) of those with AML.

  • How do we determine the survival rate of AML patients?

How do determine the survival rate?

  • Measure from diagnosis to event of interest

  • Construct a probability of surviving up to a certain time point

Data Type

  • Data is typically recorded as time-to-event data.

  • For biomedical studies, researchers are interested in time from diagnosis to death, known as time-to-death.

Censoring

  • Background Information

  • Censoring

  • Survival Analysis Functions

  • Survival Rate

  • Cox Proportional Hazard Model

  • Example

  • R Code

Censoring

  • Censoring is a mechanism in biomedical studies where we do not observe the true time-to-death.

  • Not all the time is observed.

  • Three common types of censoring mechanisms: Right, Left, and Interval.

Left Censoring

library(ggplot2)
dat <- data.frame(ID = 1:10, 
                  t1 = c(7, 9, 10, 5, 5, 10, 5, 6, 6, 7) , 
                  censored = c(1, 1, 1, 0, 0, 1, 0, 1, 1, 1))
ggplot(dat, aes(x = ID, y = t1, shape = ifelse(censored, "Death", "Censored"))) + geom_point(size = 4) + 
    geom_linerange(aes(ymin = 0, ymax = t1)) +
    geom_hline(yintercept = 5, lty = 2) +
    coord_flip() + 
    scale_shape_manual(name = "Event", values = c(19, 15)) +
    ggtitle("Left Censoring") + 
    xlab("Patient ID") +  ylab("Days") + 
    theme_bw()

Interval Censoring

library(ggplot2)
dat <- structure(list(ID = 1:5, eventA = c(0L, 1L, 1L, 0L, 1L), 
    eventB = c(1L, 0L, 0L, 1L, 0L), t1 = c(7, 5, 10, 4.5, 2), t2 = c(7, 5, 10, 4.5, 
    8), censored = c(0, 0, 0, 0, 1)), .Names = c("ID", "eventA", 
    "eventB", "t1", "t2", "censored"), class = "data.frame", row.names = c(NA, -5L))

dat$event <- with(dat, ifelse(eventA, "Censored", "Death"))

dat$id.ordered <- factor(x = dat$ID, levels = order(dat$t2, decreasing = T))

ggplot(dat, aes(x = id.ordered)) + 
    geom_linerange(aes(ymin = 0, ymax = t1)) + 
    geom_linerange(aes(ymin = t1, ymax = t2, 
                       linetype = as.factor(censored))) +  
    geom_point(aes(y = ifelse(censored, 
                              t1 + (t2 - t1) / 2, t2), 
                   shape = event), size = 4) +
    coord_flip() + 
    scale_linetype_manual(name = "Censoring", values = c(1, 2), 
        labels = c("Not censored", "Interval censored")) +
    scale_shape_manual(name = "Event", values = c(19, 15)) +
    ggtitle("Interval Censoring") + 
    xlab("Patient ID") +  ylab("Days") + 
    theme_bw()

Right Censoring

library(ggplot2)
dat <- data.frame(ID = 1:10, 
                  t1 = c(7, 9, 10, 4, 2, 10, 8, 5, 6, 7) , 
                  censored = c(0, 1, 0, 0, 1, 0, 0, 1, 0, 1))
ggplot(dat, aes(x = ID, y = t1, 
                shape = ifelse(censored, "Death", "Censored"))) +
    geom_point(size = 4) + 
    geom_linerange(aes(ymin = 0, ymax = t1)) +
    geom_hline(yintercept = 10, lty = 2) +
    coord_flip() + 
    scale_shape_manual(name = "Event", values = c(19, 15)) +
    ggtitle("Right Censoring") + 
    xlab("Patient ID") +  ylab("Days") + 
    theme_bw()

Censoring

  • Censoring affects the time-to-death information

  • However, we obtain some information when data is censored

  • Incorporate methods to utilize partial information

  • Censoring is independent of time-to-death generation

  • Right Censoring

Data Construction

  • \(T_i^*\): True time-to-event

  • \(C_i\): Censoring Time

  • \(T_i=\min(T_i^*,C_i)\): Observed time-to-event

  • \(\delta_i = I(T_i^*<C_i)\): Event indicator

Survival Analysis Functions

  • Background Information

  • Censoring

  • Survival Analysis Functions

  • Survival Rate

  • Cox Proportional Hazard Model

  • Example

  • R Code

Survivial Analysis Functions

Describe the Probability Model

  • Hazard Function
  • Survival Function
  • Cumulative Hazard Function

Hazard Function

\[ h(t) = \lim_{\Delta t \rightarrow 0} \frac{P(t \le T^* < t + \Delta t \mid T^* \ge t)}{\Delta t} \]

Survival Function

\[ S(t) = P(T^* > t) \]

Cumulative Hazard Function

\[ H(t) = \int_0^t h(u) du \]

Survival and Hazard Function Relationship

\[ S(t) = e^{-H(t)} \]

Probability Density Function

\[ f(t) = h(t)S(t) \]

Survival Rate

  • Background Information

  • Censoring

  • Survival Analysis Functions

  • Survival Rate

  • Cox Proportional Hazard Model

  • Example

  • R Code

Survival Curve

  • The survival curve will determine what is the probability of suriving up to a certain time.

  • A survival curve uses both censored and uncensored data

  • A survival curve can be used to determine the median survival time of a disease

Data

Let \(\{t_j,d_j,R_j\}^D_{j=1}\) denote the survival data, where \(t_1<t_2<\cdots<t_D\) are the ordered distinct observed event times, \(d_j\) represents the number of events at time point \(t_j\), and \(R_j\) denotes the number of subjects still at risk of experiencing the event at \(t_j\).

Kaplan-Meier Estimator

\[ \hat{S}(t) =\left\{\begin{array}{cc} 1 & t=0 \\ \prod_{i:t_j \le t} \left( 1 - \frac{d_j}{R_j} \right) & t_j < t \end{array}\right. \]

Standard Error

\[ \widehat{SE}\{\hat S(t)\}=\sqrt{\hat S^2(t)\sum_{t_j\leq t}\frac{d_j}{R_j(R_j-d_j)}}. \]

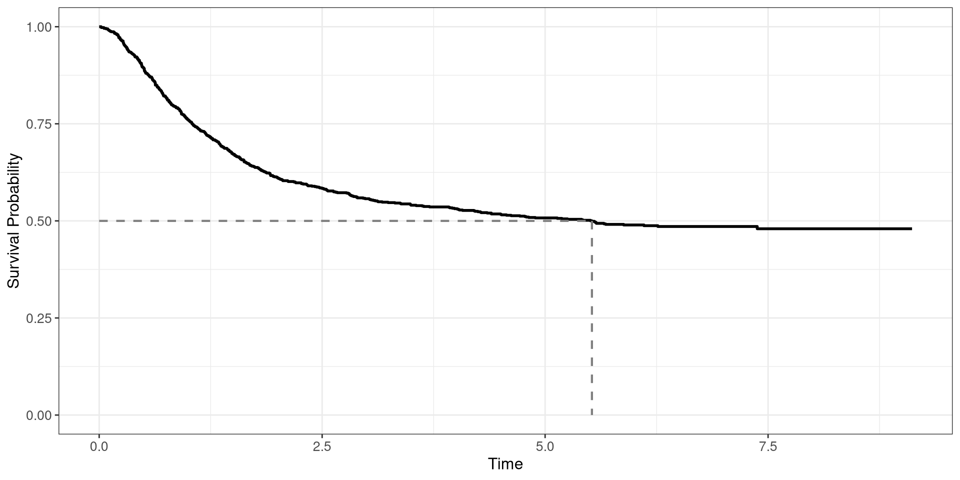
Survival Curve

library(survival)
library(ggsurvfit)
library(magrittr)
aml %$% survfit2(Surv(time, status) ~ 1)  %>% 
      ggsurvfit(linewidth = 1) +
      add_quantile(y_value = 0.5, color = "gray50", linewidth = 0.75)

Cox Proportional Hazard Model

  • Background Information

  • Censoring

  • Survival Analysis Functions

  • Survival Rate

  • Cox Proportional Hazard Model

  • Example

  • R Code

Data

Let \(\{T_i,\delta_i,\boldsymbol X_i\}^n_{i=1}\) denote the survival data, where \(T_i\) is observed event times, \(\delta_i\) is the survival indicator, and \(\boldsymbol X_i\) denotes the a vector of predictor variables.

Proportional Hazard Model

\[ h(t \mid \boldsymbol X) = h_0(t) \exp(\boldsymbol\beta^\mathrm T\boldsymbol X) \]

  • \(h_0(t)\): baseline hazard function

  • \(\boldsymbol\beta\): regression coefficients

  • \(\boldsymbol X\): predictor variables

How do we estimate parameters \(\boldsymbol \beta\)

We use a maximum likelihood approach where we search for the values of \(\boldsymbol \beta\) the maximizes the likelihood function.

The Likelihood function measures the probability of observing the data given the parameters \(\boldsymbol \beta\).

Construction of the Likelihood Function

Due to right censoring, likelihood needs careful construction

Death is observed

\[ f(t|\boldsymbol X,\boldsymbol \beta) = h(t)S(t) \]

Censored

\[ S(t) \]

Likelihood Function

\[ L(\boldsymbol \beta) = \prod_{i=1}^n [h(T_i \mid \boldsymbol X_i, \boldsymbol\beta)]^{\delta_i} [S(T_i \mid \boldsymbol X_i, \boldsymbol \beta)] \]

Likelihood Function

\[ L(\boldsymbol \beta) = \prod_{i=1}^n \{h_0(t) \exp(\boldsymbol\beta^\mathrm T\boldsymbol x_i)\}^{\delta_i} \exp\left\{-\int^{T_i}_0 h_0(s) \exp(\boldsymbol\beta^\mathrm T\boldsymbol x_i)ds\right\} \]

Estimating the Baseline Hazard Function

\[ h_0(t) \]

Parameterically

  • Weibull

  • log-Normal

  • Gompetz

Nonparametrically

  • Profile MLE

  • Spline Models

Partial Likelihood

\[ L_P(\boldsymbol\beta) = \prod_{i=1}^D \frac{\exp(\boldsymbol\beta^T \boldsymbol X_i)}{\sum_{j \in R(t_i)} \exp(\boldsymbol\beta^T \boldsymbol X_j)} \]

  • \(R(t_i)\): the patients at risk prior to time \(t_i\)
  • \(D\): Number of individuals experiencing the event

Estimation

The estimates of \(\boldsymbol \beta\) can be obtained finding the Maximum Partial Likelihood Estimate (MPLE)

Sampling Distribution

\[ \hat{\boldsymbol \beta} \overset{\circ}{\sim} N\left\{\boldsymbol \beta, - I^{-1}(\boldsymbol \beta)\right\} \]

Example

  • Background Information

  • Censoring

  • Survival Analysis Functions

  • Survival Rate

  • Cox Proportional Hazard Model

  • Example

  • R Code

Colon Example

  • Colon cancer is a type of cancer found in the large intestine
  • We will be looking whether different treatment types will have an affect on the survival rate

Colon Survival Curve

library(survival)
library(ggsurvfit)
library(magrittr)
library(tidyverse)
df_colon %$% survfit2(Surv(time, status) ~ 1)  %>% 
      ggsurvfit(linewidth = 1) +
      add_quantile(y_value = 0.5, color = "gray50", linewidth = 0.75)

Colon Survival Curve

df_colon %$% survfit2(Surv(time, status) ~ rx)  %>% 
      ggsurvfit(linewidth = 1) +
      add_quantile(y_value = 0.5, color = "gray50", linewidth = 0.75)

Colon Survival Curve

df_colon %$% survfit2(Surv(time, status) ~ rx)  %>% 
      ggsurvfit(linewidth = 1) +
      add_confidence_interval() +
      add_quantile(y_value = 0.5, color = "gray50", linewidth = 0.75)

Cox PH Model

df_colon %$% coxph(Surv(time, status) ~ rx) %>% 
  broom::tidy(exponentiate = T) %>% 
  mutate_if(is.numeric,
            round,
            digits = 2) %>% 
  DT::datatable(options = list(dom = 't')) 

R Code

  • Background Information

  • Censoring

  • Survival Analysis Functions

  • Survival Rate

  • Cox Proportional Hazard Model

  • Example

  • R Code

Fitting a Survival Curve

1library(magrittr)
2library(survival)
3library(ggsurvfit)
4df_colon %$% survfit(Surv(time, status) ~ surg)  %>%
5      ggsurvfit(linewidth = 1) +
6      add_confidence_interval() +
7      add_quantile(y_value = 0.5, color = "gray50", linewidth = 0.75)
1
Pipe package
2
Survival functions package
3
Plots survival curves package
4
Applies the Kaplan-Meier Function
5
Plots Survival Curve
6
Adds Confidence Intervals
7
Determines Median Survival Time
df_colon %$% survfit(Surv(time, status) ~ surg)  %>% 
      ggsurvfit(linewidth = 1) + 
      add_confidence_interval() +
      add_quantile(y_value = 0.5, color = "gray50", linewidth = 0.75)

Fitting Cox PH Model

df_colon %$% coxph(Surv(time, status) ~ surg)  %>%
  summary
df_colon %$% coxph(Surv(time, status) ~ surg)  %>%
  summary
#> Call:
#> coxph(formula = Surv(time, status) ~ surg)
#> 
#>   n= 929, number of events= 468 
#> 
#>                                   coef exp(coef) se(coef)     z Pr(>|z|)  
#> surgExtended Time Since Surgery 0.2549    1.2903   0.1008 2.529   0.0114 *
#> ---
#> Signif. codes:  0 '***' 0.001 '**' 0.01 '*' 0.05 '.' 0.1 ' ' 1
#> 
#>                                 exp(coef) exp(-coef) lower .95 upper .95
#> surgExtended Time Since Surgery      1.29      0.775     1.059     1.572
#> 
#> Concordance= 0.523  (se = 0.01 )
#> Likelihood ratio test= 6.17  on 1 df,   p=0.01
#> Wald test            = 6.39  on 1 df,   p=0.01
#> Score (logrank) test = 6.43  on 1 df,   p=0.01